材料科学
高端化学
生命科学
发光材料
功能性化学
分析化学
其他产品
纳米材料定制
PEG衍生物
荧光标记定制
MOF材料定制
小分子定制
多肽定制
其他材料定制
联系我们
在线留言
氨基化聚N-异丙基丙烯酰胺 PNIPAm-NH2
甲氧基聚乙二醇-聚(D,L-丙交酯-co-乙交酯)共聚物-聚赖氨酸 mPEG-PLGA-PLL
甲氧基聚乙二醇-聚赖氨酸-聚己内酯 mPEG-PLL-PCL
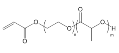
聚乳酸聚乙二醇丙烯酸酯 PLA-PEG-AC
聚乳酸-聚乙二醇-罗丹明 PLA-PEG-RB
甲氧基聚乙二醇-聚赖氨酸-聚乳酸 mPEG-PLL-PLA
甲氧基聚乙二醇-聚乳酸-聚赖氨酸 mPEG-PLA-PLL
HO-PLGA-OH,羟基封端聚(D,L-丙交酯-co-乙交酯)共聚物
HO-PLGA-COOH,羧基封端聚(D,L-丙交酯-co-乙交酯)共聚物
微信客服
联系电话 : 18066853083
邮箱 : 2265195031@qq.com
地址 : 陕西省西安市莲湖区永新路18号天赐苑6幢10302-B80号
产品分类
定制产品
定制技术
技术文章
资讯信息
齐岳微信公众号
齐岳官方微信