材料科学
高端化学
生命科学
发光材料
功能性化学
分析化学
其他产品
纳米材料定制
PEG衍生物
荧光标记定制
MOF材料定制
小分子定制
多肽定制
其他材料定制
联系我们
在线留言
PLA-2COOH 聚丙交酯(聚乳酸)-双羧基 生物降解高分子
HO-PLA-NHBoc 羟基-聚丙交酯(聚乳酸)-Boc?;ぐ被?生物降解高分子
HO-PLA-NH2 羟基-聚丙交酯(聚乳酸)-氨基 生物降解高分子
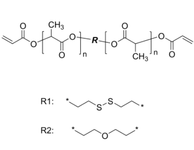
PLA-2Acr | PDLLA-2Acr 聚丙交酯(聚乳酸)-双丙烯酰氧基
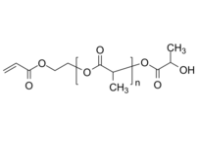
PLA-Acr | PDLLA-Acr 聚丙交酯(聚乳酸)-丙烯酰氧基 生物降解高分子
PCL-2SH 聚己内酯-双硫醇 链中间双巯基 生物降解高分子
PCL-2SH 聚己内酯-双硫醇 生物降解高分子
HS-PCL-OH 硫醇-聚己内酯-羟基 生物降解高分子
HS-PCL-COOH 硫醇-聚己内酯-羧基 生物降解高分子
微信客服
联系电话 : 18066853083
邮箱 : 2265195031@qq.com
地址 : 陕西省西安市莲湖区永新路18号天赐苑6幢10302-B80号
产品分类
定制产品
定制技术
技术文章
资讯信息
齐岳微信公众号
齐岳官方微信