材料科学
高端化学
生命科学
发光材料
功能性化学
分析化学
其他产品
纳米材料定制
PEG衍生物
荧光标记定制
MOF材料定制
小分子定制
多肽定制
其他材料定制
联系我们
在线留言
PCL-PEHA 聚己内酯-五乙烯六胺 生物降解高分子
PCL-SR 聚己内酯-甲氧基苄基硫 生物降解高分子
PCL-2MeS-disulf 聚己内酯-双甲磺酰基 链中间为二硫键
PCL-2OH-disulf 聚己内酯-双羟基 链中间为二硫键
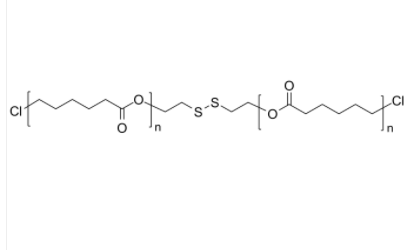
PCL-2Cl-disulf 聚己内酯-双氯 链中间为二硫键 生物降解高分子
PCL-2COOH-disulf 聚己内酯-双羧基 链中间为二硫键
PCL-2COOH 聚己内酯-双羧基 生物降解高分子
HO/Cl-PCL-COOH 羟基/氯-聚己内酯-羧基
HO-PCL-COOH 羟基-聚己内酯-羧基 生物降解高分子
微信客服
联系电话 : 18066853083
邮箱 : 2265195031@qq.com
地址 : 陕西省西安市莲湖区永新路18号天赐苑6幢10302-B80号
产品分类
定制产品
定制技术
技术文章
资讯信息
齐岳微信公众号
齐岳官方微信