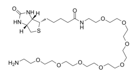
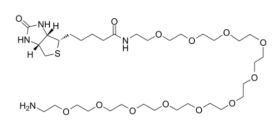
PC-Biotin-PEG4-NHS carbonate cas2055198-03-1
Linker交联剂
西安齐岳生物提供的Linker交联剂作为一种中间偶联小分子,可以把不同种类的有机分子和有机分子,无机分子和无机分子,有机分子和无机分子偶联到一起,我公司可以提供上千种Linker交联剂,满足生物学和化学偶联的各种实验方案。
西安齐岳生物提供的Linker交联剂作为一种中间偶联小分子,可以把不同种类的有机分子和有机分子,无机分子和无机分子,有机分子和无机分子偶联到一起,我公司可以提供上千种Linker交联剂,满足生物学和化学偶联的各种实验方案。