材料科学
高端化学
生命科学
发光材料
功能性化学
分析化学
其他产品
纳米材料定制
PEG衍生物
荧光标记定制
MOF材料定制
小分子定制
多肽定制
其他材料定制
联系我们
在线留言
DSPE-PEG-Biotin 生物素-聚乙二醇-二硬脂?;字R掖及?/p>
DSPE-PEG-MAL 马来酰亚胺-聚乙二醇-二硬脂?;字R掖及?/p>
DSPE-PEG-NHS 活性脂聚乙二醇-二硬脂?;字R掖及?/p>
DSPE-PEG-COOH 羧酸聚乙二醇-二硬脂酰基磷脂酰乙醇胺
DSPE-PEG-NH2 氨基聚乙二醇-二硬脂?;字R掖及?/p>
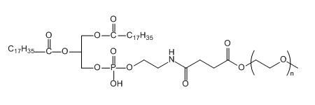
MPEG-DSPE 甲氧基聚乙二醇-二硬脂酰基磷脂酰乙醇胺
ICG-DSPE 菁染料ICG标记二硬脂酰基磷脂酰乙醇胺
ICG-DOPE 菁染料ICG标记二油酰基磷脂酰乙醇胺
CY7-DSPE 菁染料CY7标记二硬脂酰基磷脂酰乙醇胺
微信客服
联系电话 : 18066853083
邮箱 : 2265195031@qq.com
地址 : 陕西省西安市莲湖区永新路18号天赐苑6幢10302-B80号
产品分类
定制产品
定制技术
技术文章
资讯信息
齐岳微信公众号
齐岳官方微信