材料科学
高端化学
生命科学
发光材料
功能性化学
分析化学
其他产品
纳米材料定制
PEG衍生物
荧光标记定制
MOF材料定制
小分子定制
多肽定制
其他材料定制
联系我们
在线留言
硫醇-聚乙二醇-羧基 HS-PEG-COOH
生物素-聚乙二醇-羧基 Biotin-PEG-COOH
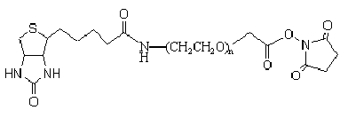
生物素-聚乙二醇-琥珀酰亚胺NHS酯 Biotin-PEG-SCM
丙烯酸酯-聚乙二醇-羧基 AC-PEG-COOH
丙烯酰胺-聚乙二醇-琥珀酰亚胺NHS酯 ACA-PEG-SCM
丙烯酸酯-聚乙二醇-琥珀酰亚胺NHS酯 AC-PEG-SCM
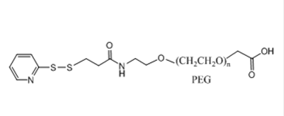
吡啶基二硫醚-聚乙二醇-羧基 OPSS-PEG-COOH
吡啶基二硫醚-聚乙二醇-琥珀酰亚胺NHS酯 OPSS-PEG-NHS
马来酰亚胺-聚乙二醇-琥珀酰亚胺NHS酯 MAL-PEG-SCM
微信客服
联系电话 : 18066853083
邮箱 : 2265195031@qq.com
地址 : 陕西省西安市莲湖区永新路18号天赐苑6幢10302-B80号
产品分类
定制产品
定制技术
技术文章
资讯信息
齐岳微信公众号
齐岳官方微信