材料科学
高端化学
生命科学
发光材料
功能性化学
分析化学
其他产品
纳米材料定制
PEG衍生物
荧光标记定制
MOF材料定制
小分子定制
多肽定制
其他材料定制
联系我们
在线留言
琥珀酰亚胺碳酸酯-聚乙二醇-琥珀酰亚胺碳酸酯 SC-PEG-SC
聚乙二醇-双(琥珀酰胺酸) SAA-PEG-SAA
聚乙二醇-双(戊二酰胺酸) GAA-PEG-GAA
琥珀酸-聚乙二醇-琥珀酸 SA-PEG-SA
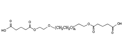
戊酸-聚乙二醇-戊酸 GA-PEG-GA
乙酸-聚乙二醇-乙酸 AA-PEG-AA
聚乙二醇-双丙醛 Aldehyde-PEG-Aldehyde
聚乙二醇-双(硝基苯碳酸酯) NPC-PEG-NPC
聚乙二醇-双(琥珀酰胺琥珀酰亚胺) SAS-PEG-SAS
微信客服
联系电话 : 18066853083
邮箱 : 2265195031@qq.com
地址 : 陕西省西安市莲湖区永新路18号天赐苑6幢10302-B80号
产品分类
定制产品
定制技术
技术文章
资讯信息
齐岳微信公众号
齐岳官方微信