全国高端商务伴游模特预约,400元4小时不限次数联系方式电话,2025小姐威客信息,全国24小时上门茶

29

2022-09

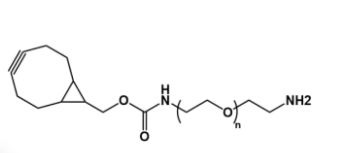
(4E)-TCO-C3-PEG3-C3-amine 反式环辛烯-C3-四乙二醇-C3-氨基

反式环辛烯(TCO)作为亲双烯体与S-四嗪(Tetrazine)在生理条件下的反应有无需催化剂、反应速率快的优点,被广泛应用于生物和材料科学的研究中。产品名称(4E)-TCO-C3-PEG3-C3-amine中文名称反式环辛烯-C3-四乙二醇-C3-

29

2022-09

BCN-PEG-NH2 环丙烷环辛炔聚乙二醇氨基

双环[6,1,0]壬炔 (BCN) (环丙烷环辛炔)可以通过无铜的点击化学与叠氮化物标记的分子或生物分子反应生成稳定的三氮唑连接。产品名称BCN-PEG-NH2 环丙烷环辛炔聚乙二醇氨基中文名称环丙烷环辛炔聚乙二醇氨基英文名称BCN-PEG-NH2分

29

2022-09

N3-PEG-N3 Azide-PEG-Azide 二叠氮聚乙二醇

在铜催化剂催化下,叠氮可以与炔基在水溶液中发生click环化反应,生成含氮五元杂环。修饰性PEG广泛应用于修饰蛋白类药物、肽类化合物、有机小分子药物、生物材料等。产品名称二叠氮聚乙二醇 N3-PEG-N3中文名称叠氮PEG叠氮 聚乙二醇二叠氮 二叠氮

29

2022-09

Tetrazine-PEG-SH 四嗪聚乙二醇巯基

四嗪可用于许多生物成像和生物共轭应用的生物正交反应。目前被广泛应用于蛋白质特定位点功能阐释、亚细胞结构选择性标记、药物靶向传递、活体动物分子影像和生物兼容性材料的制备等。产品名称Tetrazine-PEG-SH 四嗪聚乙二醇巯基中文名称四嗪聚乙二醇巯

29

2022-09

叔丁氧酰胺聚乙二醇炔基 tBoc-NH-PEG-Alkyne Alkyne-PEG-NH-tBOC

叔丁氧羰基用于?;ぐ被?。炔基与叠氮在铜催化剂作用下发生点击化学反应。修饰性PEG广泛应用于修饰蛋白类药物、肽类化合物、有机小分子药物、生物材料等。产品名称叔丁氧酰胺聚乙二醇炔基 tBoc-NH-PEG-Alkyne中文名称叔丁氧酰胺聚乙二醇炔基英文名

29

2022-09

甲氧基聚乙二醇叠氮 mPEG-N3 甲氧基PEG叠氮

叠氮化物/叠氮基官能化的甲氧基聚乙二醇(mPEG-N3)是一种单官能PEG衍生物,可用于修饰蛋白质,肽和其他材料。 叠氮化物基团可以在铜催化的水溶液中与炔烃反应。 也可以容易地还原成胺基。产品名称甲氧基聚乙二醇叠氮 mPEG-N3中文名称甲氧基聚乙二

29

2022-09

Tetrazine-PEG-Folate 四嗪聚乙二醇叶酸

四嗪可用于许多生物成像和生物共轭应用的生物正交反应。目前被广泛应用于蛋白质特定位点功能阐释、亚细胞结构选择性标记、药物靶向传递、活体动物分子影像和生物兼容性材料的制备等。产品名称Tetrazine-PEG-Folate 四嗪聚乙二醇叶酸中文名称四嗪聚

29

2022-09

八臂聚乙二醇叠氮 8ARM-PEG-N3 8ARM-PEG-Azide

在铜催化剂催化下,叠氮可以与炔基在水溶液中发生click环化反应,生成含氮五元杂环。修饰性PEG广泛应用于修饰蛋白类药物、肽类化合物、有机小分子药物、生物材料等。产品名称八臂聚乙二醇叠氮 8ARM-PEG-N3中文名称八臂聚乙二醇叠氮 八臂PEG叠氮

29

2022-09

四臂聚乙二醇叠氮 4ARM-PEG-N3 4ARM-PEG-Azide

在铜催化剂催化下,叠氮可以与炔基在水溶液中发生click环化反应,生成含氮五元杂环。修饰性PEG广泛应用于修饰蛋白类药物、肽类化合物、有机小分子药物、生物材料等。产品名称四臂聚乙二醇叠氮 4ARM-PEG-N3中文名称四臂聚乙二醇叠氮 四臂PEG叠氮

29

2022-09

Tetrazine-PEG-RGD 四嗪聚乙二醇线肽RGD

产品名称Tetrazine-PEG-RGD 四嗪聚乙二醇线肽RGD中文名称四嗪聚乙二醇线肽RGD英文名称Tetrazine-PEG-RGD分子量600CASN/A存储条件-20冷冻保存时间一年其它分子量400 1000 2000 3400 5000

点击这里给我发消息

微信客服

微信联系

联系电话 : 18066853083

邮箱 : 2265195031@qq.com

地址 : 陕西省西安市莲湖区永新路18号天赐苑6幢10302-B80号

齐岳微信公众号

齐岳微信公众号

齐岳官方微信

齐岳官方微信

ALL Rights Reserved. 西安齐岳生物科技有限公司版权所有. 陕ICP备20008861号-4