全国高端商务伴游模特预约,400元4小时不限次数联系方式电话,2025小姐威客信息,全国24小时上门茶

29

2022-09

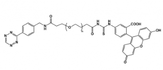
Tetrazine-PEG-cRGD 四嗪-聚乙二醇-环肽RGD

四嗪可用于许多生物成像和生物共轭应用的生物正交反应。目前被广泛应用于蛋白质特定位点功能阐释、亚细胞结构选择性标记、药物靶向传递、活体动物分子影像和生物兼容性材料的制备等。产品名称Tetrazine-PEG-cRGD 四嗪-聚乙二醇-环肽RGD中文名称

29

2022-09

四臂聚乙二醇丙炔 4ARM-PEG-Alkyne 4ARM-PEG-ALK

炔基可以与叠氮在铜催化剂作用下发生点击化学反应。修饰性PEG广泛应用于修饰蛋白类药物、肽类化合物、有机小分子药物、生物材料等。产品名称四臂聚乙二醇丙炔 4ARM-PEG-Alkyne中文名称四臂PEG丙炔 四臂PEG炔基 四臂聚乙二醇炔基英文名称4A

29

2022-09

叠氮聚乙二醇磷脂 叠氮PEG磷脂 Azide-PEG-DSPE

叠氮用于点击化学反应,DSPE可用于制备脂质体,作为药物缓释载体。产品名称叠氮聚乙二醇磷脂 Azide-PEG-DSPE中文名称叠氮聚乙二醇磷脂 叠氮PEG磷脂英文名称Azide-PEG-DSPE DSPE-PEG-Azide分子量600CASN/A

29

2022-09

Tetrazine-PEG-FITC 四嗪聚乙二醇荧光素

四嗪可用于许多生物成像和生物共轭应用的生物正交反应。目前被广泛应用于蛋白质特定位点功能阐释、亚细胞结构选择性标记、药物靶向传递、活体动物分子影像和生物兼容性材料的制备等。产品名称Tetrazine-PEG-FITC 四嗪聚乙二醇荧光素中文名称四嗪聚乙

29

2022-09

Tetrazine-PEG-NH2 四嗪聚乙二醇氨基

四嗪可用于许多生物成像和生物共轭应用的生物正交反应。目前被广泛应用于蛋白质特定位点功能阐释、亚细胞结构选择性标记、药物靶向传递、活体动物分子影像和生物兼容性材料的制备等。产品名称Tetrazine-PEG-NH2 四嗪聚乙二醇氨基中文名称四嗪聚乙二醇

29

2022-09

Tetrazine-PEG-DBCO 四嗪-聚乙二醇-二苯基环辛炔

DBCO(二苯并环辛炔)是一种环炔烃,可以通过在水溶液中通过应变促进的1,3-偶极环加成反应与叠氮化物反应,这种生物正交反应也称为无铜点击反应。 该反应具有选择性和生物相容性,因此互补试剂可以与功能生物系统形成共价键。 无铜点击反应一直是无催化剂生物

29

2022-09

胆固醇聚乙二醇二苯基环辛炔 CLS-PEG-DBCO

DBCO(二苯并环辛炔)是一种环炔烃,可以通过在水溶液中通过应变促进的1,3-偶极环加成反应与叠氮化物反应,这种生物正交反应也称为无铜点击反应。 该反应具有选择性和生物相容性,因此互补试剂可以与功能生物系统形成共价键。 无铜点击反应一直是无催化剂生物

28

2022-09

PEG-2(OH)-COOH 羟基-聚乙二醇-羟基-链中间有羧基

PEG-2(OH)-COOH 羟基-聚乙二醇-羟基-链中间有羧基 Poly(ethylene glycol), with carboxy-group in center of polymer 中文名称:羟基-聚乙二醇-羟基-链中间有羧基英文简称:PE

28

2022-09

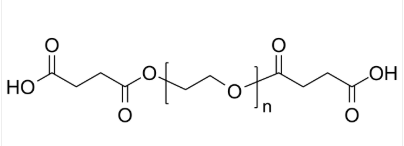
PEG-2COOH/PEG-2SA 聚乙二醇-双羧基(丁二酸)

PEG-2COOH/PEG-2SA 聚乙二醇-双羧基(丁二酸) Poly(ethylene glycol), α,ω-bis(carboxy [succinic acid])-terminated 中文名称:聚乙二醇-双羧基(丁二酸)英文简称:PEG

28

2022-09

HO-PEG-COOH 羟基-聚乙二醇-羧基(丁二酸)

HO-PEG-COOH 羟基-聚乙二醇-羧基(丁二酸) Poly(ethylene glycol), (α-carboxy [succinic acid], ω-hydroxy)-term 中文名称:羟基-聚乙二醇-羧基(丁二酸)英文简称:HO-PE

点击这里给我发消息

微信客服

微信联系

联系电话 : 18066853083

邮箱 : 2265195031@qq.com

地址 : 陕西省西安市莲湖区永新路18号天赐苑6幢10302-B80号

齐岳微信公众号

齐岳微信公众号

齐岳官方微信

齐岳官方微信

ALL Rights Reserved. 西安齐岳生物科技有限公司版权所有. 陕ICP备20008861号-4