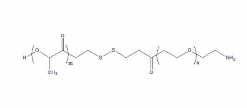
PLA-SS-PEG-MAL,聚乳酸-SS-聚乙二醇-马来酰亚胺
药物递送
药物递送是西安齐岳生物特色产品之一,药物递送主要是应用纳米或微米载体去运输传递药物或者其他分子,该类产品主要应用于纳米技术开发,这种纳米级的药物传递产品包括有机纳米材料和无机纳米材料,比如脂质体,水凝胶,白蛋白纳米粒,超分子材料。
药物递送是西安齐岳生物特色产品之一,药物递送主要是应用纳米或微米载体去运输传递药物或者其他分子,该类产品主要应用于纳米技术开发,这种纳米级的药物传递产品包括有机纳米材料和无机纳米材料,比如脂质体,水凝胶,白蛋白纳米粒,超分子材料。