资讯信息
TCO-PEG-FITC 反式环辛烯聚乙二醇荧光素
文章来源 : 齐岳生物
作者:齐岳小编zyl
发布时间 : 2022-10-10 13:50:08
点击量 :
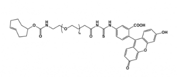
产品名称:TCO-PEG-FITC 反式环辛烯聚乙二醇荧光素
产品描述:
反式环辛烯(TCO)作为亲双烯体与S-四嗪(Tetrazine)在生理条件下的反应有无需催化剂、反应速率快的优点,被广泛应用于生物和材料科学的研究中。
产品名称 TCO-PEG-FITC 反式环辛烯聚乙二醇荧光素
中文名称 荧光素-聚乙二醇-反式环辛烯
英文名称 TCO-PEG-FITC
分子量 1000
存储条件 -20°冷冻,干燥保存
保存时间 一年
其它 2000 3400 5000 10000

相关产品:
TCO-PEG-Lysozyme 反式环辛烯-聚乙二醇-溶菌酶
TCO-PEG-alginate 反式环辛烯-聚乙二醇-海藻酸钠
TCO-PEG-Chitosan 反式环辛烯-聚乙二醇-壳聚糖
TCO-PEG-galactose 反式环辛烯-聚乙二醇-半乳糖
TCO-PEG-mannose 反式环辛烯-聚乙二醇-甘露糖
TCO-PEG-Glucose 反式环辛烯-聚乙二醇-葡萄糖
储存时间:1年
保存:冷藏
温馨提醒:仅供科研,不能用于人体实验
联系我们:
邮箱:2519696869@qq.com
QQ: 2519696869
电话:18066853083
微信:18066853083
公司介绍:
西安齐岳生物科技有限公司是集化学科研和定制与一体的高科技化学公司。业务范围包括化学试剂和产品的研发、生产、销售等。涉及产品为通用试剂的分销、非通用试剂的定制与研发,涵盖生物科技、化学品、中间体和化工材料等领域。
主营产品:COF、MOF单体系列:三蝶烯衍生物、金刚烷衍生物、四苯甲烷衍生物、peg、上转换、石墨烯、光电材料、点击化学、凝集素、载玻片、蛋白质交联剂、脂质体、蛋白、多肽、氨基酸、糖化学等。
免责声明:本产品只可用于科研,不能用于人体,如不遵守,产生任何后果与本公司无关!
转载联系作者并注明出处:http://www.15d169.cn/zixunxinxi/68742.html


