资讯信息
361154-30-5,Ac4ManNAz,叠氮甘露糖 点击糖化学试剂
文章来源 : 齐岳生物
作者:小编
发布时间 : 2022-11-01 17:03:49
点击量 :
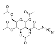
产品名称:361154-30-5,Ac4ManNAz,叠氮甘露糖 点击糖化学试剂
产品描述:
英文名称:Ac4ManNAz
N-azidoacetylmannosamine-tetraacylated (Ac4ManNAz)
中文名称:叠氮修饰甘露糖
1,3,4,6-四-O-乙?;?N-叠氮乙?;被事短?/p>
CAS No:361154-30-5
分子式: C16H22N4O10
分子量: 430.37
纯 度:≥ 98%
性 状:白色粉末

关于我们:
西安齐岳生物科技有限公司成立于2015年7月,是一家从事材料科学,高端化学,生命科学的科研试剂公司。2015年发展至今,公司经营产品种类多达上百种,销售产品十几万个,公司一直致力于为科研客户提供的产品服务,广阔的产品种类,有价格竞争力的科研试剂。
相关产品:
氰染料荧光标记聚乙二醇修饰?;?酰肼
Cy3/Cy5.5/Cy7-Lipoic acid
Cy5-PEG-Lipoic acid
Cy3/Cy5.5/Cy7-LA
Cy5-PEG-LA
氰染料荧光标记硫辛酸
氰染料荧光标记聚乙二醇修饰硫辛酸
Cy3/Cy5.5/Cy7-thiol
Cy5-PEG-thiol
Cy3/Cy5.5/Cy7-SH
Cy5-PEG-SH
联系我们:
邮箱:2519696869@qq.com
QQ: 2519696869
电话:18066853083
微信:18066853083
公司介绍:
西安齐岳生物科技有限公司是集化学科研和定制与一体的高科技化学公司。业务范围包括化学试剂和产品的研发、生产、销售等。涉及产品为通用试剂的分销、非通用试剂的定制与研发,涵盖生物科技、化学品、中间体和化工材料等领域。
主营产品:COF、MOF单体系列:三蝶烯衍生物、金刚烷衍生物、四苯甲烷衍生物、peg、上转换、石墨烯、光电材料、点击化学、凝集素、载玻片、蛋白质交联剂、脂质体、蛋白、多肽、氨基酸、糖化学等。
免责声明:本产品只可用于科研,不能用于人体,如不遵守,产生任何后果与本公司无关!
转载联系作者并注明出处:http://www.15d169.cn/zixunxinxi/72952.html


