资讯信息
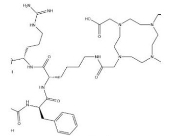
c(RGDfK-DOTA) 大环配体修饰的多肽 DOTA-cRGDfK
文章来源 : 齐岳生物
作者:小编
发布时间 : 2022-12-02 17:43:44
点击量 :
产品名称:c(RGDfK-DOTA) 大环配体修饰的多肽 DOTA-cRGDfK
产品描述:
c(RGDfK-DOTA) 大环配体修饰的多肽 DOTA-cRGDfK
c(RGDfK-DOTA)
大环配体修饰的多肽

名称:c(RGDfK-DOTA)
序列:c(RGDfK-DOTA)
纯度:≥95% (HPLC)
分子式:C43H67N13O14
分子量:990.09
外观:白色粉末
CAS#:
储存条件:Store at -20°C
溶解性:
类别:多肽修饰
产地:西安
用途:科研
RGD多肽是一种常见的肿瘤主动靶向性多肽,可以直接作用于肿瘤靶点,形成主动靶向性效果。
其他同系列产品:
cRGD-PEG-Cy7
RGD-PEG-PLGA
cRGD-PEG-PLA
cRGD-PEG-PCL
cRGD-PEG-PLGA
RGD-PEG-Dopamine
cRGD-PEG-Dopamine
RGD-PEG-Cy3
联系我们:
邮箱:2519696869@qq.com
QQ: 2519696869
电话:18066853083
微信:18066853083
公司介绍:
西安齐岳生物科技有限公司是集化学科研和定制与一体的高科技化学公司。业务范围包括化学试剂和产品的研发、生产、销售等。涉及产品为通用试剂的分销、非通用试剂的定制与研发,涵盖生物科技、化学品、中间体和化工材料等领域。
主营产品:COF、MOF单体系列:三蝶烯衍生物、金刚烷衍生物、四苯甲烷衍生物、peg、上转换、石墨烯、光电材料、点击化学、凝集素、载玻片、蛋白质交联剂、脂质体、蛋白、多肽、氨基酸、糖化学等。
免责声明:本产品只可用于科研,不能用于人体,如不遵守,产生任何后果与本公司无关!
转载联系作者并注明出处:http://www.15d169.cn/zixunxinxi/74720.html


