资讯信息
DSPE-PEG-amine, 474922-26-4,磷脂-聚乙二醇-氨基
文章来源 : 齐岳生物
作者:小编
发布时间 : 2022-12-07 09:40:11
点击量 :
产品名称:DSPE-PEG-amine, 474922-26-4,磷脂-聚乙二醇-氨基
产品描述:
DSPE-PEG-amine 474922-26-4 磷脂-聚乙二醇-氨基
中文:磷脂-聚乙二醇-氨基 (MW:10000)
英文:DSPE-PEG-NH2,DSPE-PEG-amine
CAS:474922-26-4
DSPE-PEG-amine分子量:10k,其他分子量可以定制(5k、2k、1k等)。
质量控制在95%+,主要用于科研实验使用。它溶于水和缓冲液、二氯甲烷、氯仿、DMF、DMSO,较少溶于醇、甲苯。产品外观为固体或液体,具体取决于分子量。需在-20°冷冻、避光、干燥储藏。
产品简介
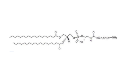
DSPE-PEG胺(DSPE-PEG-NH2)是反应性磷脂PEG试剂之一,在一个PEG末端具有一个反应性伯胺基。DSPE(1,2-二硬脂酰基-sn-甘油3-磷酸乙醇胺)是一种常用于脂质体合成的饱和18C磷脂,聚乙二醇(PEG)共轭DSPE具有亲水性和疏水性,可用于药物递送,基因转染和生物分子修饰。
PEG末端的氨基与叶酸反应,可用于制备DSPE-PEG-叶酸;磷脂的聚乙二醇化显着改善了封装药物的稳定性,胺官能化的DSPE PEG可通过其反应性氨基进一步修饰PEG脂质。
结构式

相关产品
DSPE-PEG-amine,DSPE-PEG-NH2, MW:20000
DSPE-PEG-amine,DSPE-PEG-NH2, MW:10000
DSPE-PEG-amine,DSPE-PEG-NH2, MW:5000
DSPE-PEG-amine,DSPE-PEG-NH2, MW:3400
DSPE-PEG-amine,DSPE-PEG-NH2, MW:2000
DSPE-PEG-amine,DSPE-PEG-NH2, MW:1000
级别:科研
产地:西安
供应商:西安齐岳生物科技有限公司
用途:仅用于科学研究,非医疗目的,非药用,非食用
联系我们:
邮箱:2519696869@qq.com
QQ: 2519696869
电话:18066853083
微信:18066853083
公司介绍:
西安齐岳生物科技有限公司是集化学科研和定制与一体的高科技化学公司。业务范围包括化学试剂和产品的研发、生产、销售等。涉及产品为通用试剂的分销、非通用试剂的定制与研发,涵盖生物科技、化学品、中间体和化工材料等领域。
主营产品:COF、MOF单体系列:三蝶烯衍生物、金刚烷衍生物、四苯甲烷衍生物、peg、上转换、石墨烯、光电材料、点击化学、凝集素、载玻片、蛋白质交联剂、脂质体、蛋白、多肽、氨基酸、糖化学等。
免责声明:本产品只可用于科研,不能用于人体,如不遵守,产生任何后果与本公司无关!
转载联系作者并注明出处:http://www.15d169.cn/zixunxinxi/75085.html


