资讯信息
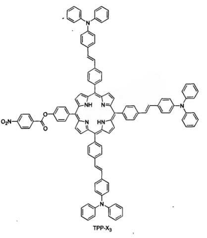
5-(4-硝基苯甲酰氧基)苯基-10,15,20-三-(4-二苯胺基-1-苯乙烯基)苯基卟啉(TPP-X3)
文章来源 : 齐岳生物
作者:小编axc
发布时间 : 2022-12-30 14:34:57
点击量 :
产品名称:5-(4-硝基苯甲酰氧基)苯基-10,15,20-三-(4-二苯胺基-1-苯乙烯基)苯基卟啉(TPP-X3)
产品描述:
中文名称:5-(4-硝基苯甲酰氧基)苯基-10,15,20-三-(4-二苯胺基-1-苯乙烯基)苯基卟啉
英文名称:TPP-X3
纯度:98%
包装:瓶装
地址:西安
保存条件:-20℃以下冰冻、干燥。
厂家:西安齐岳生物科技有限公司
描述:
在氮气氛下,分别将0.39g(0.38mmol)TPP-NOz,0.42g(1.56mmol)自制的4-(N,N-二苯基胺)苯乙烯,0.080g(0.27mmol)邻甲基三苯基膦以及0.0675g醋酸钯加入到250mL三口烧瓶中,再注入15mL硝基苯和15mL新蒸三丁胺,回流反应96h.减压蒸出硝基苯与三丁胺所得剩余物经柱层析分离.先用石油醚为流动相去除一相组分,再改用V(二氯甲烷)∶V(石油醚)一1∶1混合溶剂为流动相,接收红色组分,浓缩得0.123g紫红色固体产物(TPP-X3),产率20.39%

相关产品:
5-[4-(4-巯基丙氧基)-苯基]-10 ,15 ,20-三苯基卟啉
5-[4-(6-巯基己氧基)-苯基}-10 ,15 ,20-三苯基卟啉
5-[4-(9-巯基壬氧基)-苯基]-10,15,20-三苯基卟啉
5-[4-(12-巯基上二烷氧基)-苯基]-10 ,15 ,20-三苯基卟啉(TPPO(CH2):2SH)
5,10-二(4-羟基苯基)-15,20-二苯基卟啉(cis-TPP(OH)2)
5,15-二(4-羟基苯基)-10,20-_苯基卟啉(rans-TPP(OH)2)
5,10,15,20-四(4-甲氧羰基苯基)卟啉(TCMPP)
十五烷基苯基取代的卟啉化合物(C1sTPPNi)
厂家:西安齐岳生物科技有限公司
以上资料来自小编axc,2022.12.30
以上文中提到的产品仅用于科研,不能用于人体。
联系我们:
邮箱:2519696869@qq.com
QQ: 2519696869
电话:18066853083
微信:18066853083
公司介绍:
西安齐岳生物科技有限公司是集化学科研和定制与一体的高科技化学公司。业务范围包括化学试剂和产品的研发、生产、销售等。涉及产品为通用试剂的分销、非通用试剂的定制与研发,涵盖生物科技、化学品、中间体和化工材料等领域。
主营产品:COF、MOF单体系列:三蝶烯衍生物、金刚烷衍生物、四苯甲烷衍生物、peg、上转换、石墨烯、光电材料、点击化学、凝集素、载玻片、蛋白质交联剂、脂质体、蛋白、多肽、氨基酸、糖化学等。
免责声明:本产品只可用于科研,不能用于人体,如不遵守,产生任何后果与本公司无关!
转载联系作者并注明出处:http://www.15d169.cn/zixunxinxi/78492.html


