资讯信息
5,10,15,20-四(4-羧基苯基)卟啉(TCPP)
文章来源 : 齐岳生物
作者:小编axc
发布时间 : 2022-12-30 14:37:14
点击量 :
产品名称:5,10,15,20-四(4-羧基苯基)卟啉(TCPP)
产品描述:
中文名称:5,10,15,20-四(4-羧基苯基)卟啉
英文名称:TCPP
纯度:98%
包装:瓶装
地址:西安
保存条件:-20℃以下冰冻、干燥。
厂家:西安齐岳生物科技有限公司
描述:
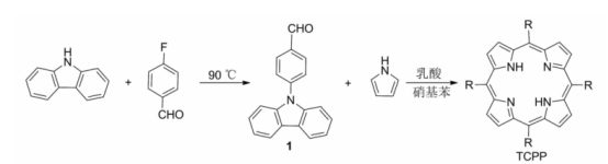
用4-甲?;郊姿峒柞ビ脒量﹍:l的量合成出meso一四(4一甲氧?;交?卟啉,再将产物于四氢呋喃与氢氧化钾的混合溶液中回流水解反应二十小时得到终产物TCPP,缺点就是反应时间较长,但产物较纯净。

相关产品:
(MnTAPP-β-CDP)
离子型锰卟啉化合物[MnTTMAPP][PF6]5
中位-四(4-N-氰乙基吡啶基)卟啉(TγNPNPyP)
四(1-甲基-1哌啶乙氧基苯基)卟啉(简写TMPipEOPP)
锌卟啉-荧光素二元化合物Zn(F1-PPTPP)
Zn(TPP)/Fe(p-ImEPTPP)Cl
咪唑基尾式卟啉铜(Ⅱ)配合物CuⅡ(p-ImBPTPP)
咪唑基尾式卟啉5-对[4-(1-咪唑基)丁氧基]苯基-10,15,20-三苯基卟啉(p-ImBPTPP)
厂家:西安齐岳生物科技有限公司
以上资料来自小编axc,2022.12.30
以上文中提到的产品仅用于科研,不能用于人体。
联系我们:
邮箱:2519696869@qq.com
QQ: 2519696869
电话:18066853083
微信:18066853083
公司介绍:
西安齐岳生物科技有限公司是集化学科研和定制与一体的高科技化学公司。业务范围包括化学试剂和产品的研发、生产、销售等。涉及产品为通用试剂的分销、非通用试剂的定制与研发,涵盖生物科技、化学品、中间体和化工材料等领域。
主营产品:COF、MOF单体系列:三蝶烯衍生物、金刚烷衍生物、四苯甲烷衍生物、peg、上转换、石墨烯、光电材料、点击化学、凝集素、载玻片、蛋白质交联剂、脂质体、蛋白、多肽、氨基酸、糖化学等。
免责声明:本产品只可用于科研,不能用于人体,如不遵守,产生任何后果与本公司无关!
转载联系作者并注明出处:http://www.15d169.cn/zixunxinxi/78495.html


