资讯信息
BDP 576/589 NHS ester,cas 201998-61-0
文章来源 : 齐岳生物
作者:小编
发布时间 : 2022-12-01 14:28:41
点击量 :
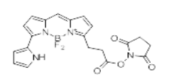
产品名称:BDP 576/589 NHS ester,cas 201998-61-0
产品描述:
BDP 576/589 NHS ester,cas201998-61-0
BDP 576/589(一件紧身衣)? 576/589类似物)是一种硼二吡咯烯染料。这种疏水染料具有高量子产率和长激发态寿命(约5纳秒)。它可用于测量荧光寿命和荧光偏振以及双光子激光扫描显微镜。
该试剂是染料的活化N-羟基琥珀酰亚胺酯,与伯氨基和仲氨基具有反应性。

一般性质
外观:深色晶体
质量规格M+增量:328.1
分子量:426.18
cas:201998-61-0
分子式:C20H17N4BF2O4
溶解性:溶于极性有机溶剂
质量控制:核磁共振氢谱、高效液相色谱-质谱(95%)
储存条件:储存:在-20°C的黑暗中接受后12个月。
运输:在室温下多3周。避免长时间暴露在阳光下。
相关产品:
双荧光核三枝BODIPY染料
酚类衍生物的三枝BODIPY荧光化合物
双酚衍生物三枝BODIPY染料
电子酚取代的三枝BODIPY荧光染料
N-羟基琥珀酰亚胺酯的三枝BODIPY染料
羧基三枝BODIPY荧光化合物
芳环亲核取代制备三枝BODIPY染料
氮氧化吡啶錨定基推拉电子BODIPY染料
联系我们:
邮箱:2519696869@qq.com
QQ: 2519696869
电话:18066853083
微信:18066853083
公司介绍:
西安齐岳生物科技有限公司是集化学科研和定制与一体的高科技化学公司。业务范围包括化学试剂和产品的研发、生产、销售等。涉及产品为通用试剂的分销、非通用试剂的定制与研发,涵盖生物科技、化学品、中间体和化工材料等领域。
主营产品:COF、MOF单体系列:三蝶烯衍生物、金刚烷衍生物、四苯甲烷衍生物、peg、上转换、石墨烯、光电材料、点击化学、凝集素、载玻片、蛋白质交联剂、脂质体、蛋白、多肽、氨基酸、糖化学等。
免责声明:本产品只可用于科研,不能用于人体,如不遵守,产生任何后果与本公司无关!
转载联系作者并注明出处:http://www.15d169.cn/zixunxinxi/74526.html


