资讯信息
BDP 581/591 NHS ester,cas654651-21-5
文章来源 : 齐岳生物
作者:小编
发布时间 : 2022-12-01 14:29:16
点击量 :
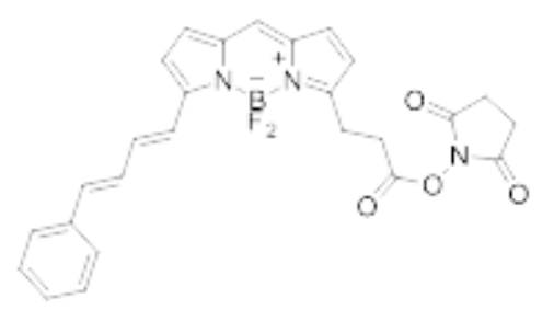
产品名称:BDP 581/591 NHS ester,cas654651-21-5
产品描述:
BDP 581/591 NHS ester,cas654651-21-5

BDP 581/591是一种具有较长荧光寿命和双光子激发截面的硼二吡咯烯染料。这对于荧光偏振分析是有用的。由于二烯体系的存在,它可以与活性氧(ROS)发生荧光变化的反应。这是NHS酯衍生物,用于与蛋白质、肽和其他分子的伯胺和仲胺基团结合。
产品名称:BDP 581/591 NHS酯
分子式:C26H22N3BF2O4
分子量:489.28
纯度:核磁共振氢谱、高效液相色谱-质谱(95%)
溶解性:在DMF、DMSO、DCM中具有良好的溶解性
CAS:654651-21-5
产品规格
外观:黑色固体
大励磁:585
ε、 L?摩尔-1?cm-1:104000
荧光量子产率:0.83
储存条件:在-20°C的黑暗中接受12个月后。运输:在室温下多3周。避免长时间暴露在阳光下。
相关产品:
Schiff碱类BODIPY荧光染料
2,3,5,6-四噻吩取代BODIPY染料
三芳基硼BODIPY染料
3,5-位苯乙烯基桥联BODIPY染料
苯并噻二唑桥联苯基的BODIPY染料
苯并二噻吩桥联meso位噻吩的BODIPY染料
2,6-位取代的BODIPY染料敏化剂
2,6-二乙酰基BODIPY荧光染料
联系我们:
邮箱:2519696869@qq.com
QQ: 2519696869
电话:18066853083
微信:18066853083
公司介绍:
西安齐岳生物科技有限公司是集化学科研和定制与一体的高科技化学公司。业务范围包括化学试剂和产品的研发、生产、销售等。涉及产品为通用试剂的分销、非通用试剂的定制与研发,涵盖生物科技、化学品、中间体和化工材料等领域。
主营产品:COF、MOF单体系列:三蝶烯衍生物、金刚烷衍生物、四苯甲烷衍生物、peg、上转换、石墨烯、光电材料、点击化学、凝集素、载玻片、蛋白质交联剂、脂质体、蛋白、多肽、氨基酸、糖化学等。
免责声明:本产品只可用于科研,不能用于人体,如不遵守,产生任何后果与本公司无关!
转载联系作者并注明出处:http://www.15d169.cn/zixunxinxi/74527.html


